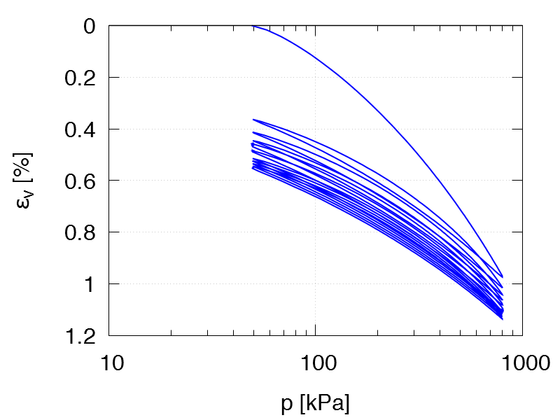
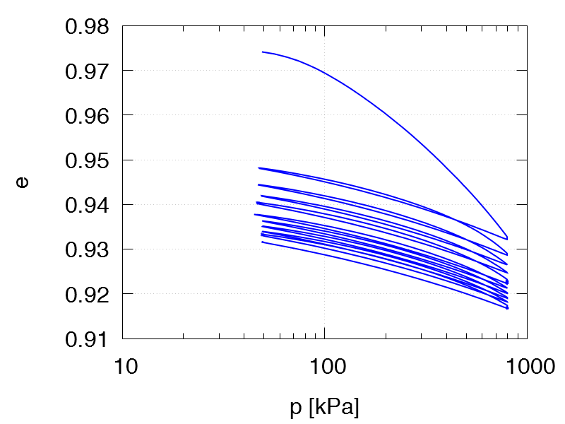
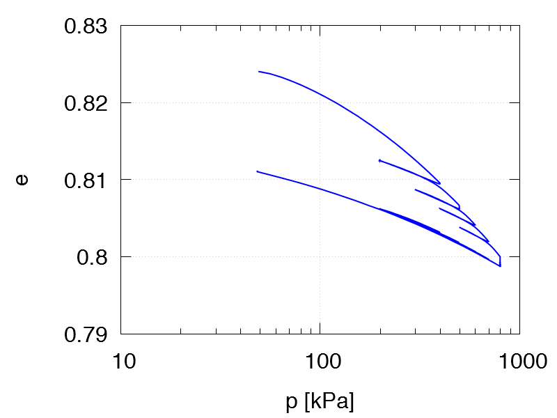
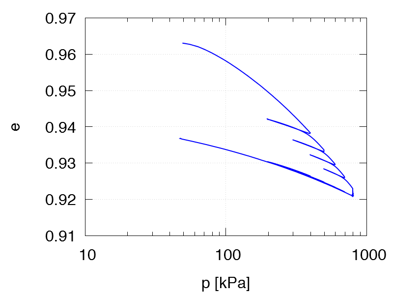
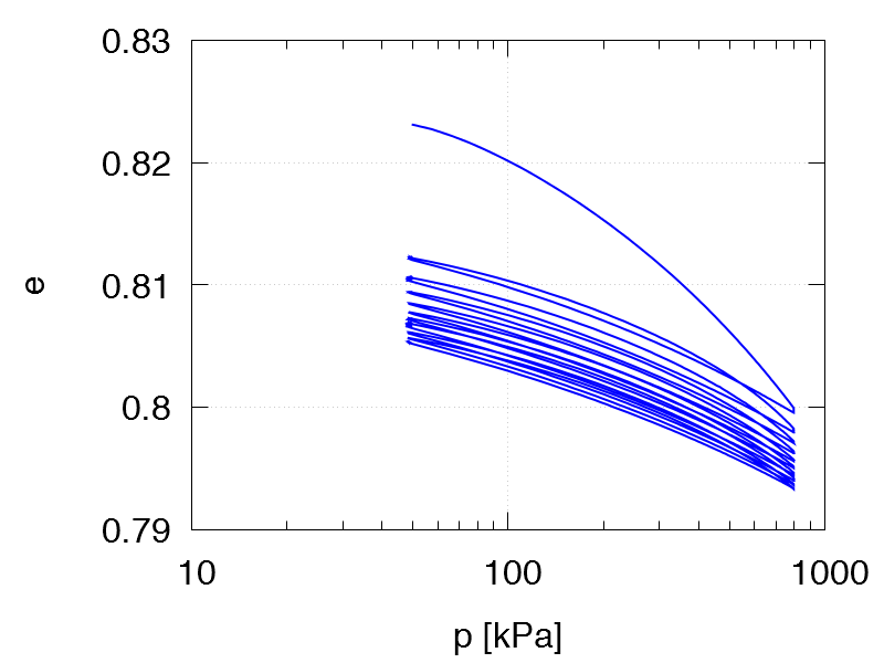
Isotropic compression tests with several un- and reloading phases:   Data of all tests of this series
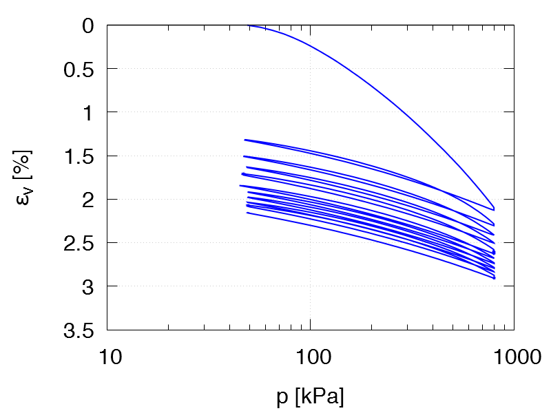
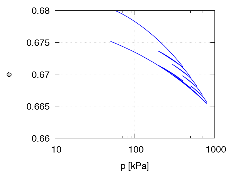
ISO1
ID0 = 0.21
large cycles
pampl = 750 kPa

Test data

ISO2
ID0 = 0.61
large cycles
pampl = 750 kPa

Test data

ISO3
ID0 = 0.97
large cycles
pampl = 750 kPa

Test data

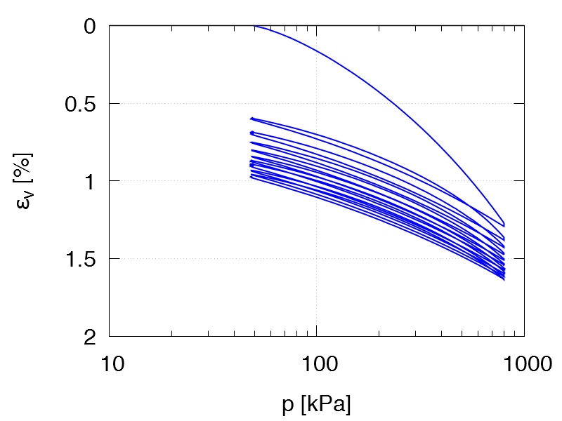
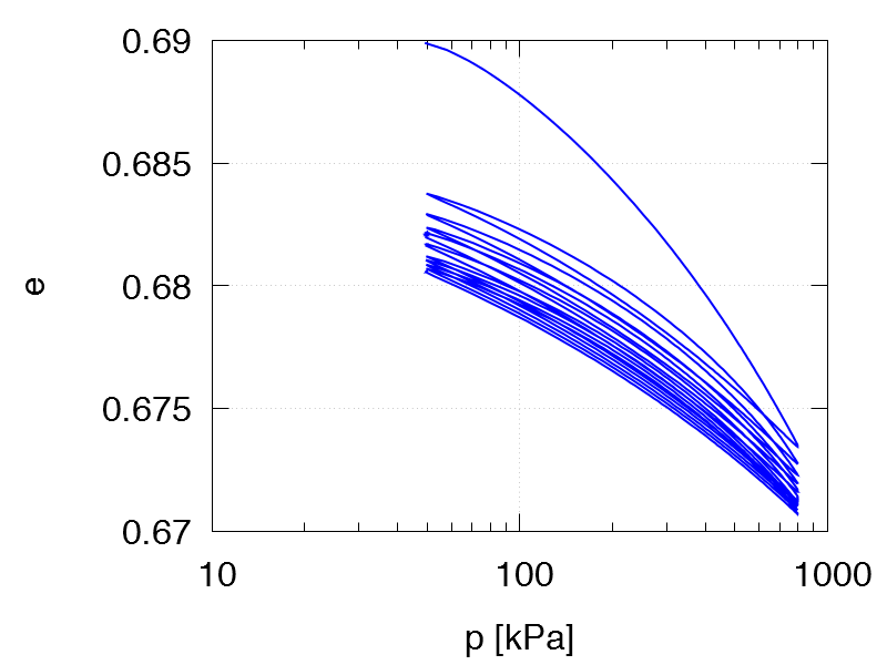
ISO4
ID0 = 0.24
small cycles
pampl = 200 kPa

Test data

ISO5
ID0 = 0.61
small cycles
pampl = 200 kPa

Test data

ISO6
ID0 = 0.99
small cycles
pampl = 200 kPa

Test data