Oedometric compression tests with un- and reloading:   Data of all tests of this series
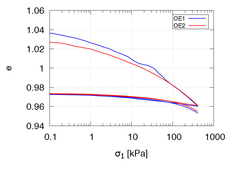
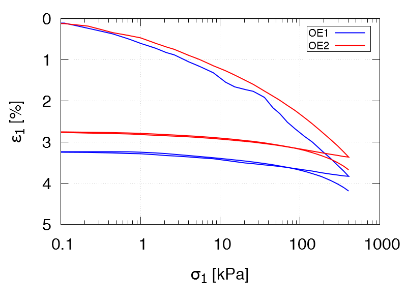
OE1-2
ID0 = 0.04-0.07

Test data

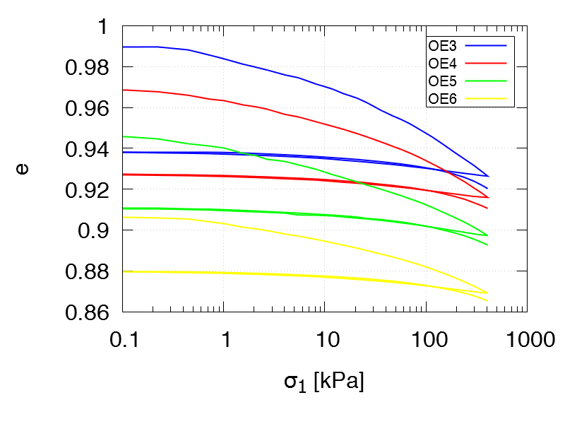
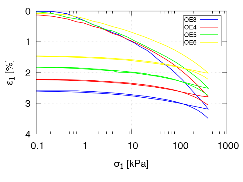
OE3-6
ID0 = 0.17-0.39

Test data

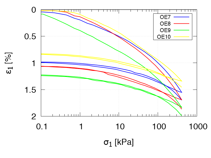
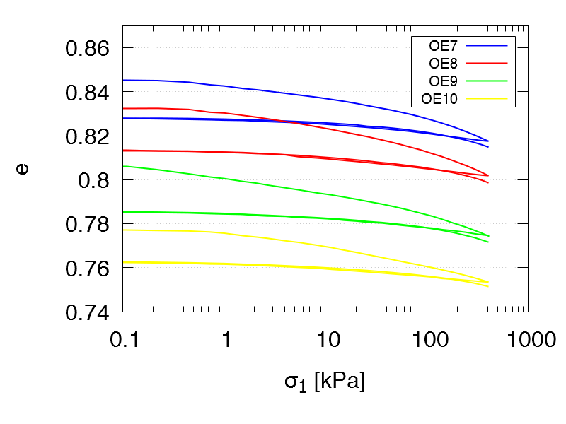
OE7-10
ID0 = 0.55-0.73

Test data

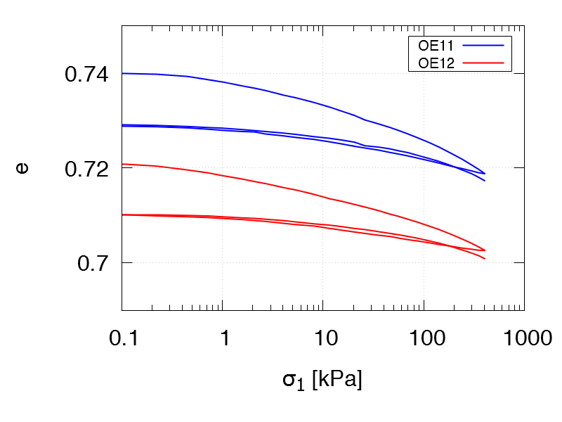
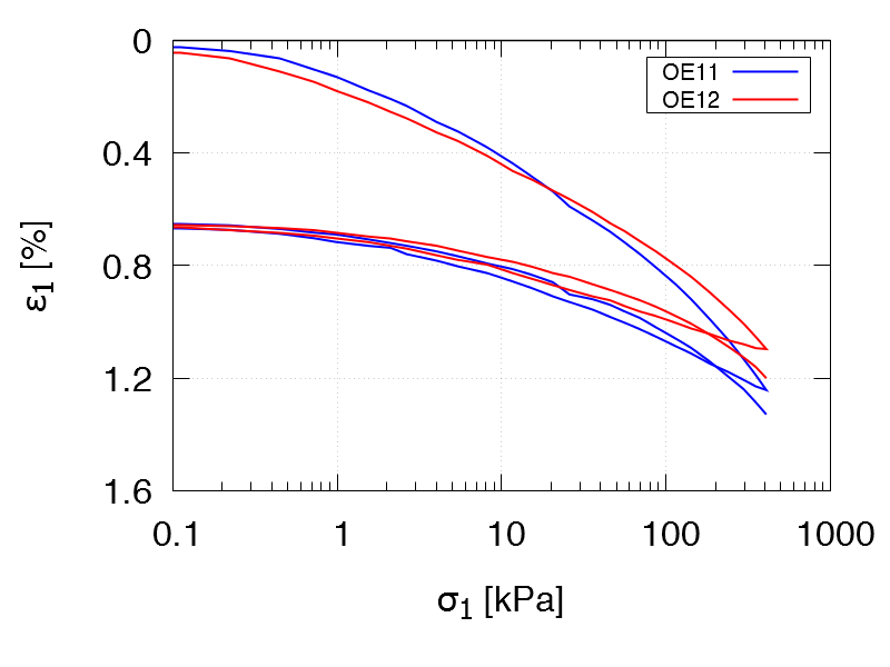
OE11-12
ID0 = 0.83-0.88

Test data