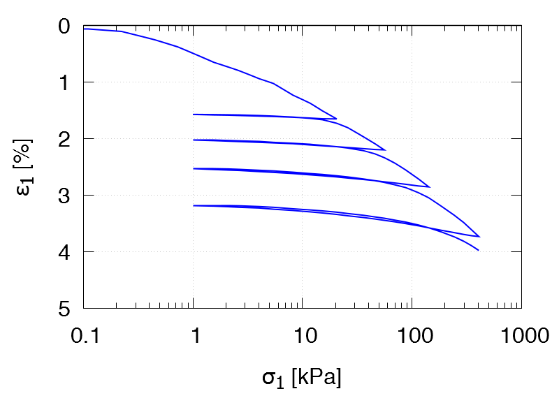
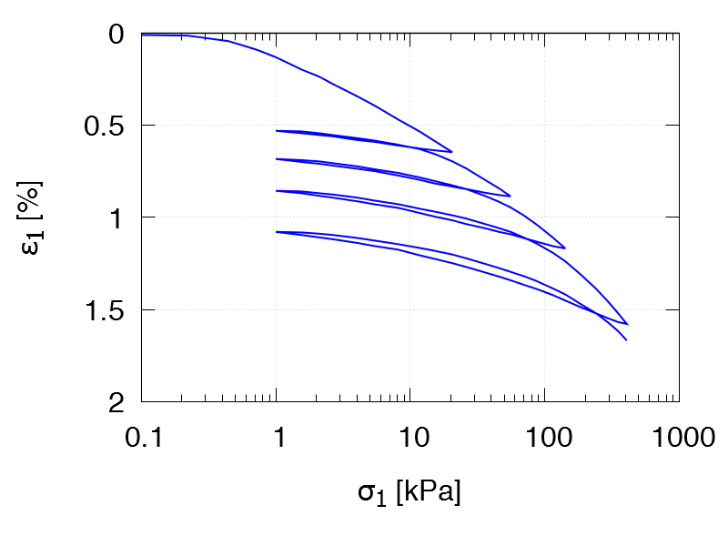
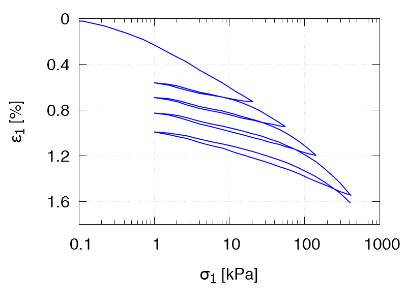
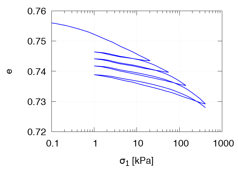
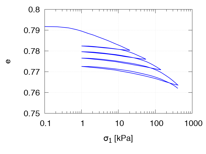
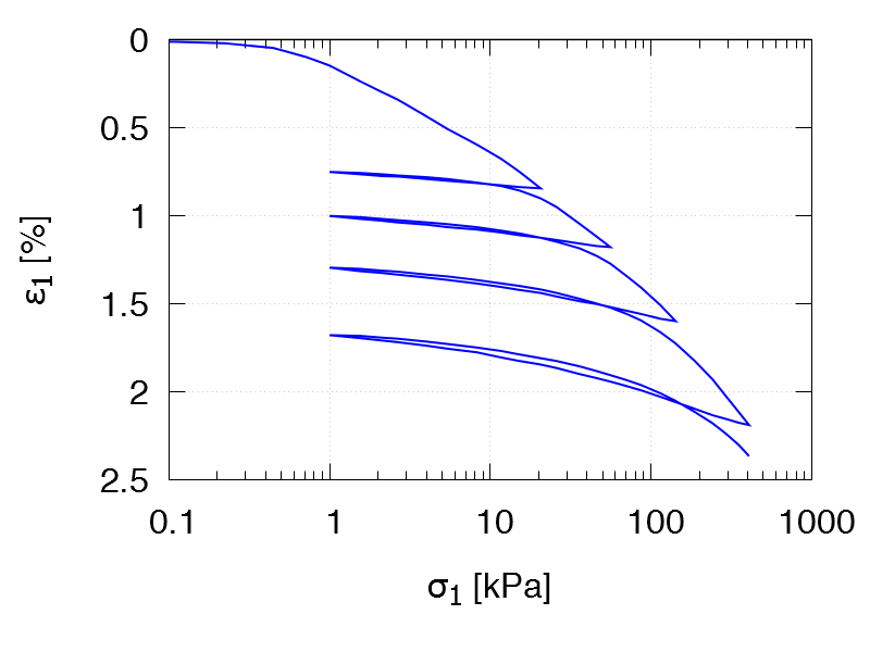
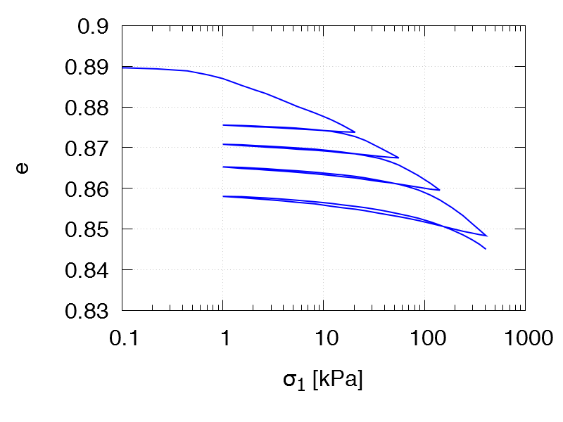
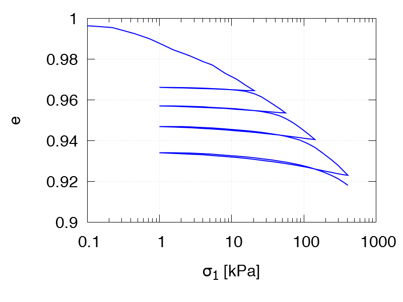
Oedometric tests with several un- and reloading phases:   Data of all tests of this series
OEC1
ID0 = 0.15

Test data

OEC2
ID0 = 0.44

Test data

OEC3
ID0 = 0.70

Test data

OEC4
ID0 = 0.79

Test data