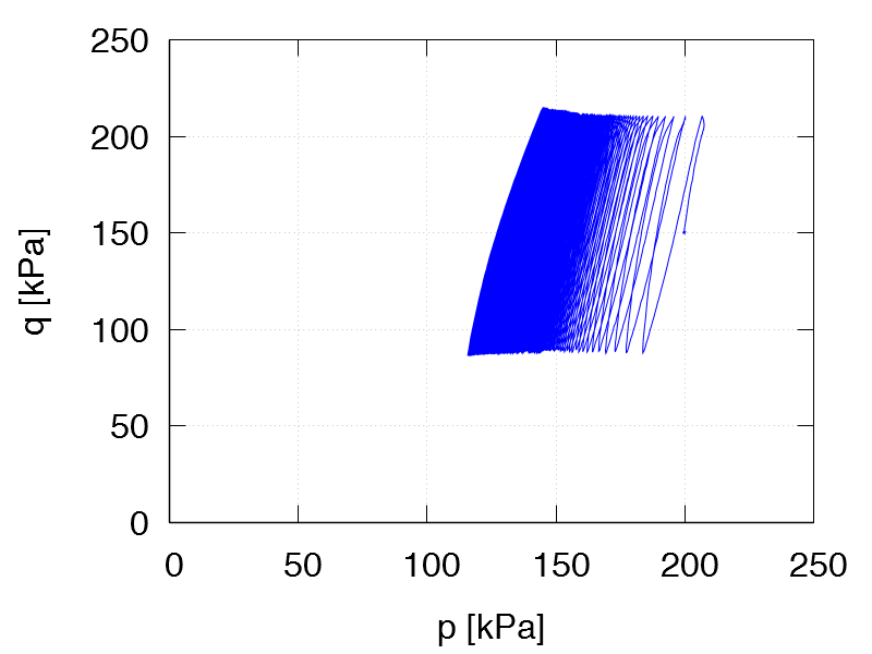
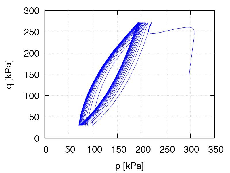
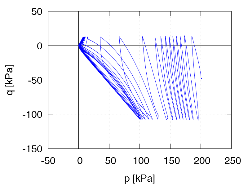
| TCUA1 ID0 = 0.29 p0 = 300 kPa η0 = 0.5 qampl = 120 kPa Test data |
|
|
| TCUA2 ID0 = 0.64 p0 = 300 kPa η0 = 0.5 qampl = 120 kPa Test data |
|
|
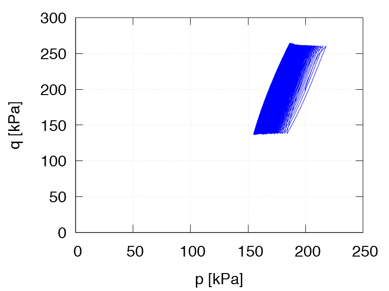
| TCUA3 ID0 = 0.87 p0 = 300 kPa η0 = 0.5 qampl = 120 kPa Test data |
|
|
| TCUA4 ID0 = 0.63 p0 = 300 kPa η0 = 0.5 qampl = 60 kPa 1st drained cycle Test data |
|
|
| TCUA5 ID0 = 0.63 p0 = 300 kPa η0 = 0.5 qampl = 90 kPa 1st drained cycle Test data |
|
|
| TCUA6 ID0 = 0.61 p0 = 300 kPa η0 = 0.5 qampl = 120 kPa 1st drained cycle Test data |
|
|
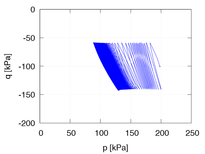
| TCUA7 ID0 = 0.38 p0 = 300 kPa η0 = 0.5 qampl = 120 kPa 1st drained cycle Test data |
|
|
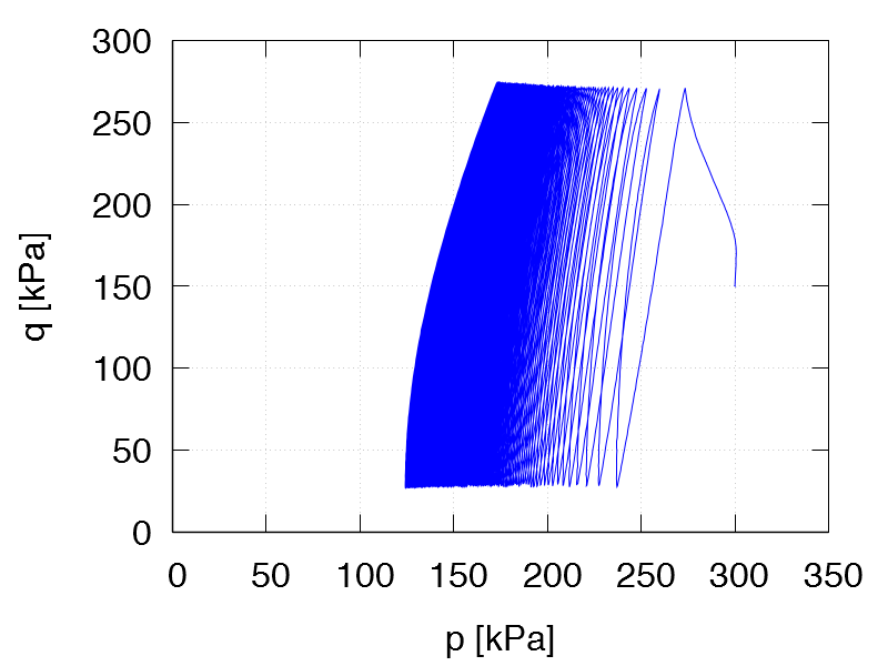
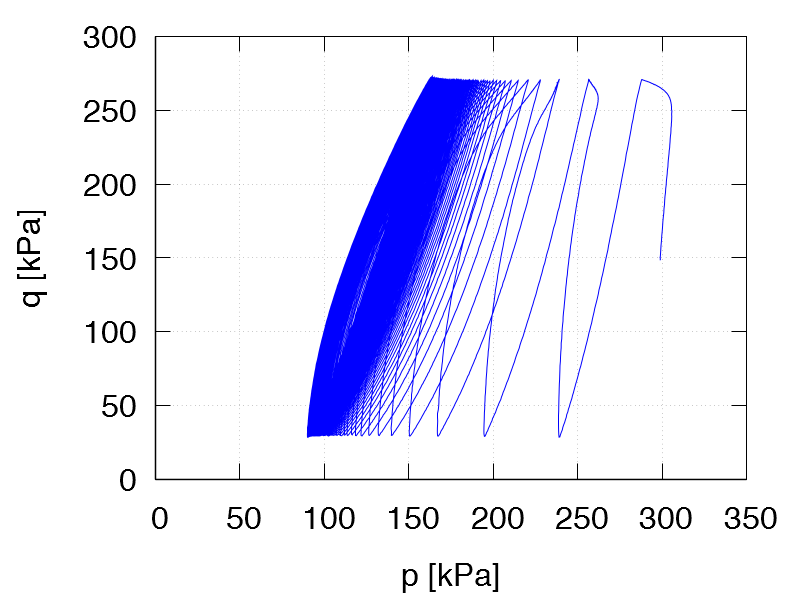
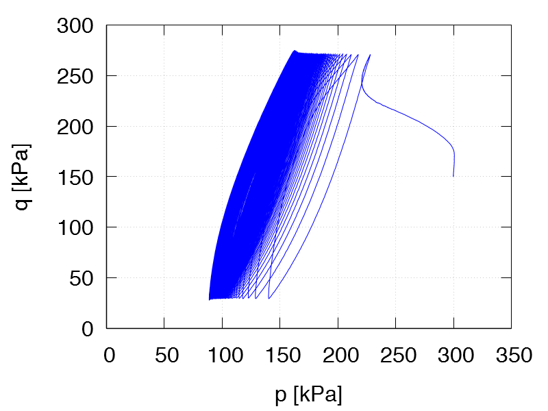
| TCUA8 ID0 = 0.86 p0 = 300 kPa η0 = 0.5 qampl = 120 kPa 1st drained cycle Test data |
|
|
| TCUA9 ID0 = 0.57 p0 = 100 kPa η0 = 0.75 qampl = 25 kPa 1st drained cycle Test data |
|
|
| TCUA10 ID0 = 0.66 p0 = 200 kPa η0 = 0.75 qampl = 50 kPa 1st drained cycle Test data |
|
|
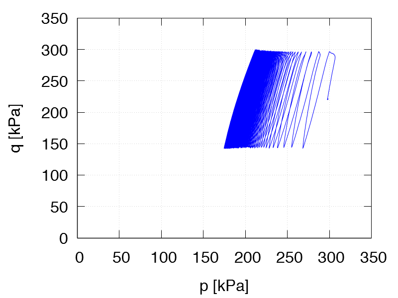
| TCUA11 ID0 = 0.63 p0 = 300 kPa η0 = 0.75 qampl = 75 kPa 1st drained cycle Test data |
|
|
| TCUA12 ID0 = 0.60 p0 = 200 kPa η0 = 1.0 qampl = 60 kPa 1st drained cycle Test data |
|
|
| TCUA13 ID0 = 0.64 p0 = 200 kPa η0 = 0.75 qampl = 60 kPa 1st drained cycle Test data |
|
|
| TCUA14 ID0 = 0.57 p0 = 200 kPa η0 = 0.5 qampl = 60 kPa 1st drained cycle Test data |
|
|
| TCUA15 ID0 = 0.66 p0 = 200 kPa η0 = 0.3 qampl = 60 kPa 1st drained cycle Test data |
|
|
| TCUA16 ID0 = 0.56 p0 = 200 kPa η0 = 0.25 qampl = 60 kPa 1st drained cycle Test data |
|
|
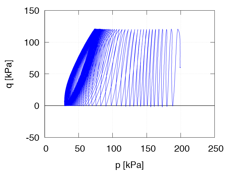
| TCUA17 ID0 = 0.65 p0 = 200 kPa η0 = -0.25 qampl = 60 kPa 1st drained cycle Test data |
|
|
| TCUA18 ID0 = 0.61 p0 = 200 kPa η0 = -0.25 qampl = 40 kPa 1st drained cycle Test data |
|
|
| TCUA19 ID0 = 0.66 p0 = 200 kPa η0 = -0.5 qampl = 40 kPa 1st drained cycle Test data |
|
|