Undrained cyclic tests with strain cycles of large amplitudes:   Data of all tests of this series
TCUE15     
ID0 = 0.29
p0 = 200 kPa
η0 = 0
ε1ampl = 1.0 ⋅ 10-2

Test data

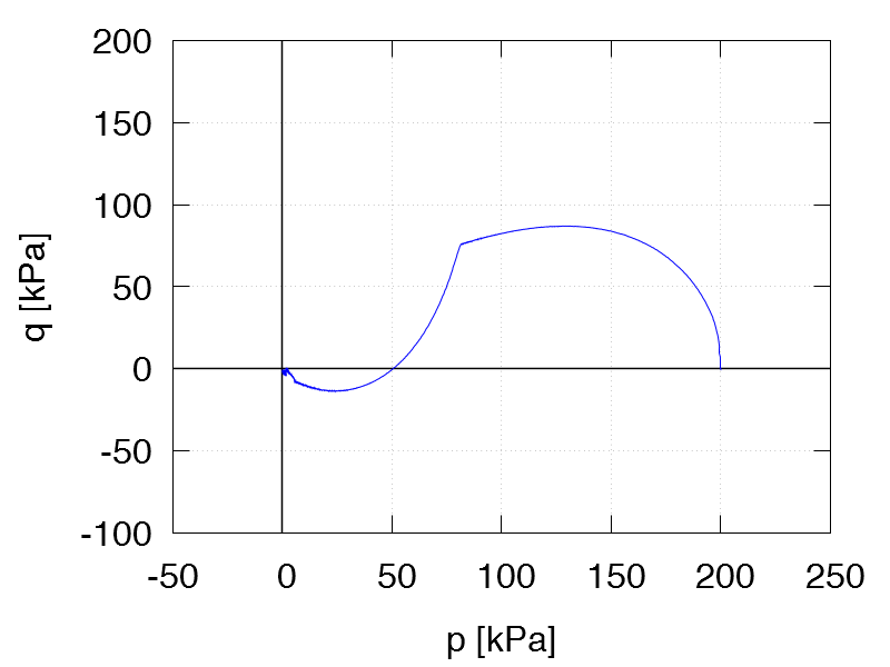
TCUE16
ID0 = 0.66
p0 = 200 kPa
η0 = 0
ε1ampl = 1.0 ⋅ 10-2

Test data

TCUE17
ID0 = 0.94
p0 = 200 kPa
η0 = 0
ε1ampl = 1.0 ⋅ 10-2

Test data

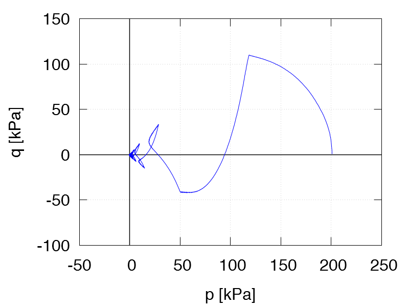
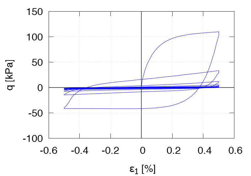
TCUE18
ID0 = 0.64
p0 = 100 kPa
η0 = 0
ε1ampl = 1.0 ⋅ 10-2

Test data

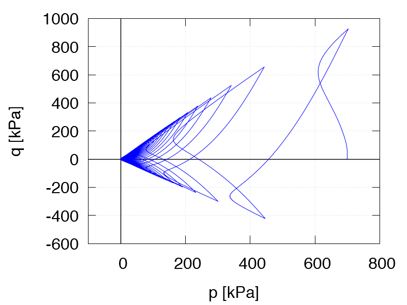
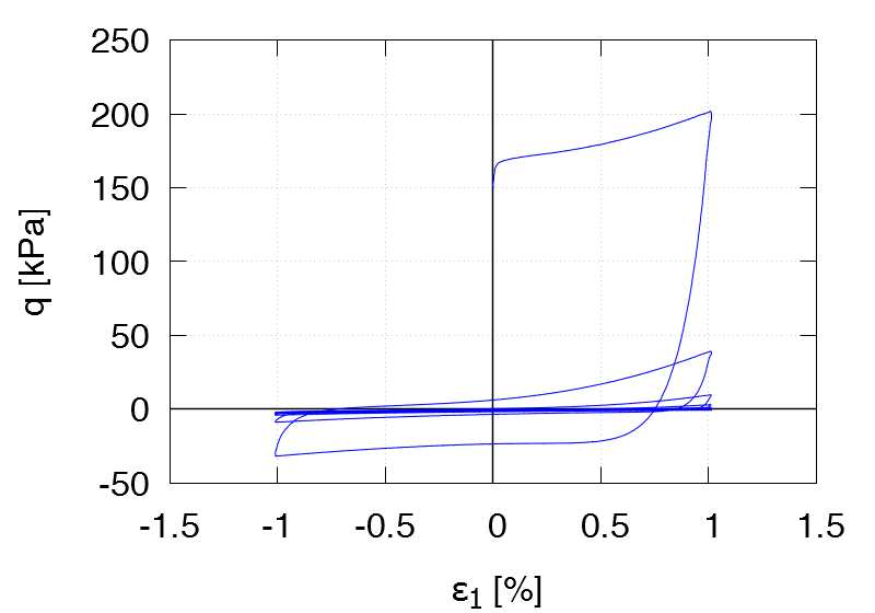
TCUE19
ID0 = 0.64
p0 = 700 kPa
η0 = 0
ε1ampl = 1.0 ⋅ 10-2

Test data

TCUE20
ID0 = 0.63
p0 = 200 kPa
η0 = 0
ε1ampl = 0.5 ⋅ 10-2

Test data

TCUE21
ID0 = 0.60
p0 = 200 kPa
η0 = 0.75
ε1ampl = 1.0 ⋅ 10-2

Test data

TCUE22
ID0 = 0.98
p0 = 100 kPa
η0 = 0
ε1ampl = 1.0 ⋅ 10-2

Test data

TCUE23
ID0 = 1.01
p0 = 700 kPa
η0 = 0
ε1ampl = 1.0 ⋅ 10-2

Test data