Undrained cyclic tests with strain cycles of small amplitude:   Data of all tests of this series
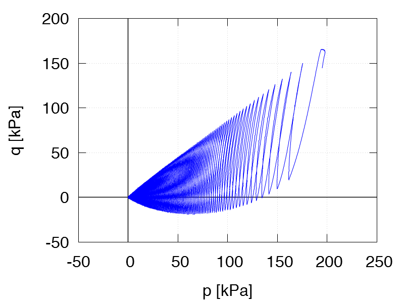
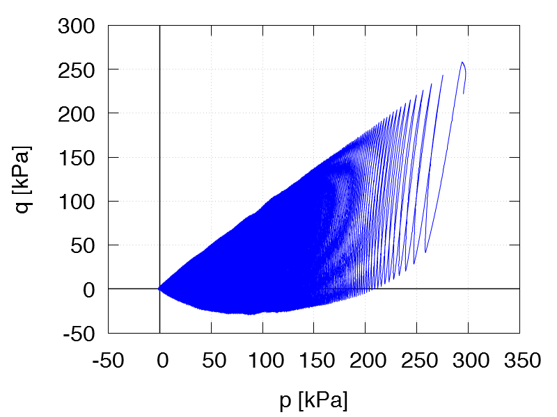
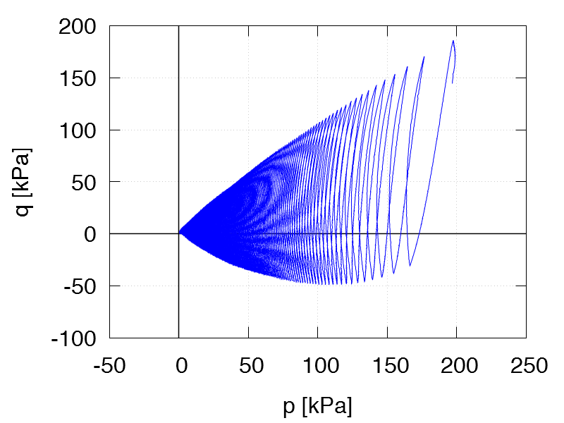
TCUE1      
ID0 = 0.64
p0 = 200 kPa
η0 = 0.75
ε1ampl = 6.0 ⋅ 10-4

Test data

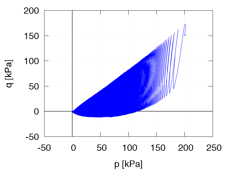
TCUE2
ID0 = 0.70
p0 = 200 kPa
η0 = 0.75
ε1ampl = 6.0 ⋅ 10-4
1st drained cycle

Test data

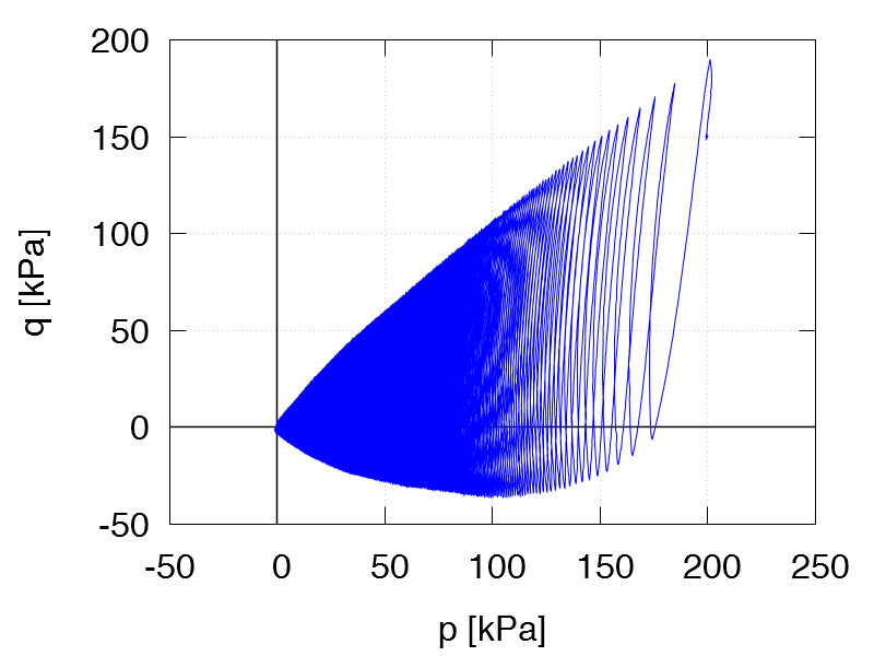
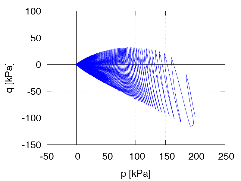
TCUE3
ID0 = 0.53
p0 = 200 kPa
η0 = -0.5
ε1ampl = 6.0 ⋅ 10-4

Test data

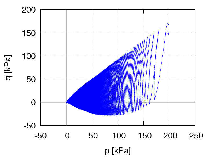
TCUE4
ID0 = 0.60
p0 = 200 kPa
η0 = 0.75
ε1ampl = 4.0 ⋅ 10-4
1st drained cycle

Test data

TCUE5
ID0 = 0.69
p0 = 200 kPa
η0 = 0.75
ε1ampl = 8.0 ⋅ 10-4
1st drained cycle

Test data

TCUE6
ID0 = 0.38
p0 = 200 kPa
η0 = 0.75
ε1ampl = 6.0 ⋅ 10-4
1st drained cycle

Test data

TCUE7
ID0 = 0.82
p0 = 200 kPa
η0 = 0.75
ε1ampl = 6.0 ⋅ 10-4
1st drained cycle

Test data

TCUE8
ID0 = 0.66
p0 = 200 kPa
η0 = 1.15
ε1ampl = 6.0 ⋅ 10-4
1st drained cycle

Test data

TCUE9
ID0 = 0.67
p0 = 200 kPa
η0 = 0
ε1ampl = 6.0 ⋅ 10-4
1st drained cycle

Test data

TCUE10
ID0 = 0.56
p0 = 200 kPa
η0 = -0.5
ε1ampl = 6.0 ⋅ 10-4
1st drained cycle

Test data

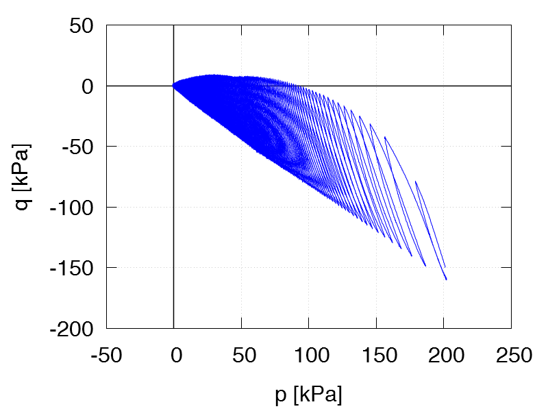
TCUE11
ID0 = 0.58
p0 = 200 kPa
η0 = -0.75
ε1ampl = 6.0 ⋅ 10-4
1st drained cycle

Test data

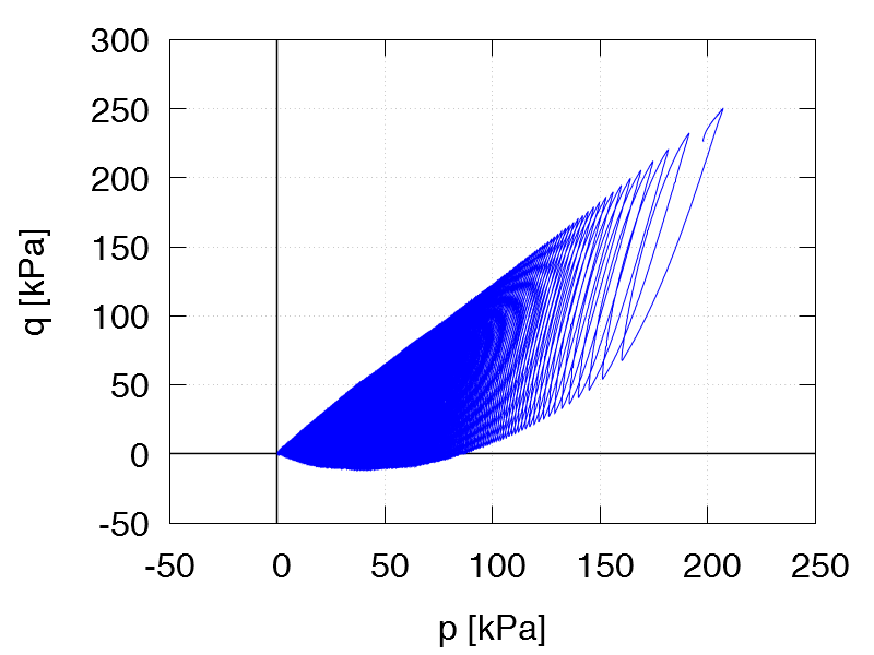
TCUE12
ID0 = 0.59
p0 = 50 kPa
η0 = 0.75
ε1ampl = 6.0 ⋅ 10-4
1st drained cycle

Test data

TCUE13
ID0 = 0.71
p0 = 100 kPa
η0 = 0.75
ε1ampl = 6.0 ⋅ 10-4
1st drained cycle

Test data

TCUE14
ID0 = 0.66
p0 = 300 kPa
η0 = 0.75
ε1ampl = 6.0 ⋅ 10-4
1st drained cycle

Test data