| TCUI1 ID0 = 0.27 p0 = 200 kPa qampl = 30 kPa Test data |
|
|
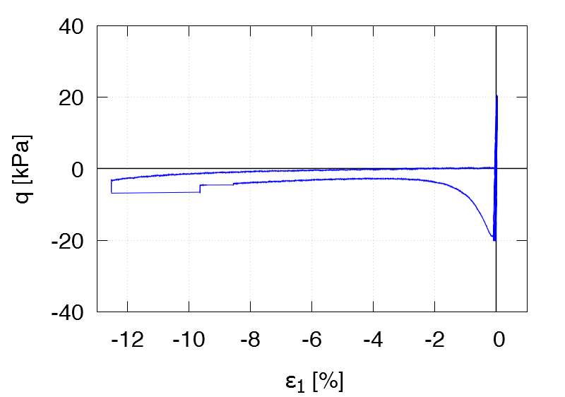
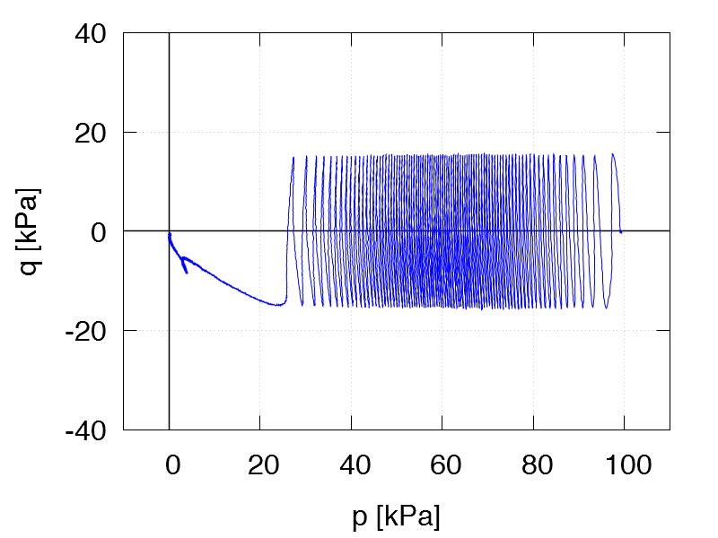
| TCUI2 ID0 = 0.25 p0 = 100 kPa qampl = 15 kPa 1st drained cycle Test data |
|
|
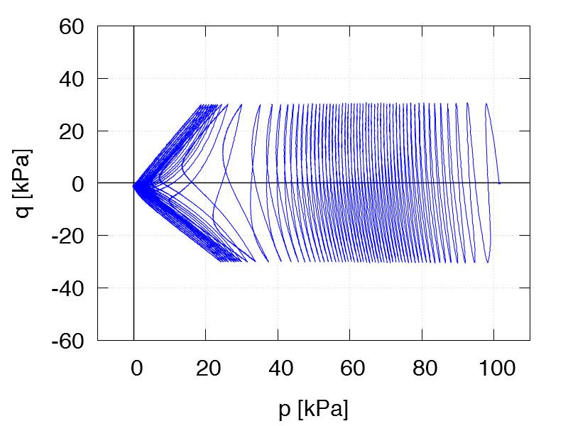
| TCUI3 ID0 = 0.28 p0 = 100 kPa qampl = 20 kPa 1st drained cycle Test data |
|
|
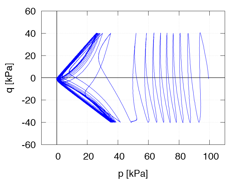
| TCUI4 ID0 = 0.25 p0 = 100 kPa qampl = 25 kPa 1st drained cycle Test data |
|
|
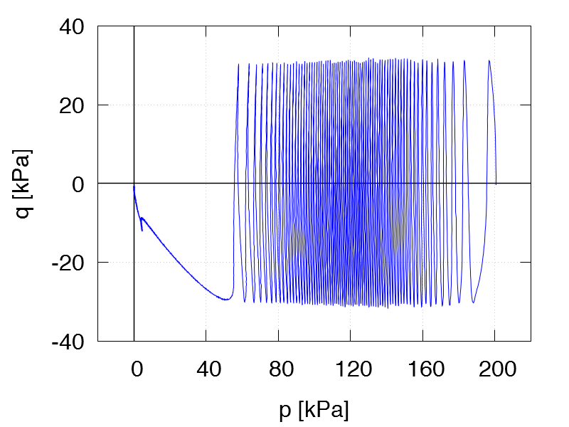
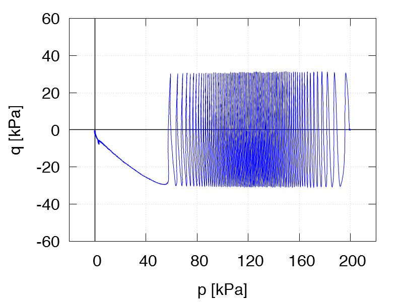
| TCUI5 ID0 = 0.26 p0 = 200 kPa qampl = 30 kPa 1st drained cycle Test data |
|
|
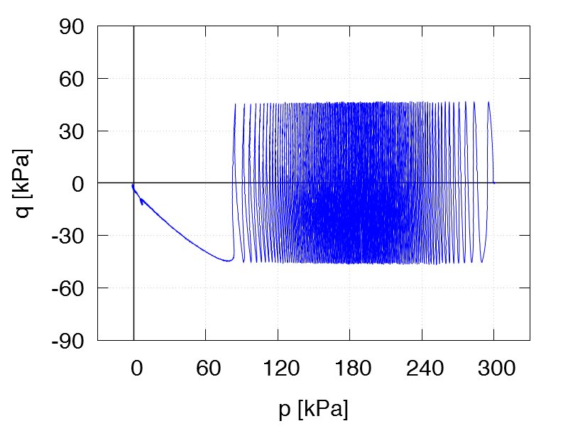
| TCUI6 ID0 = 0.24 p0 = 300 kPa qampl = 45 kPa 1st drained cycle Test data |
|
|
| | | |
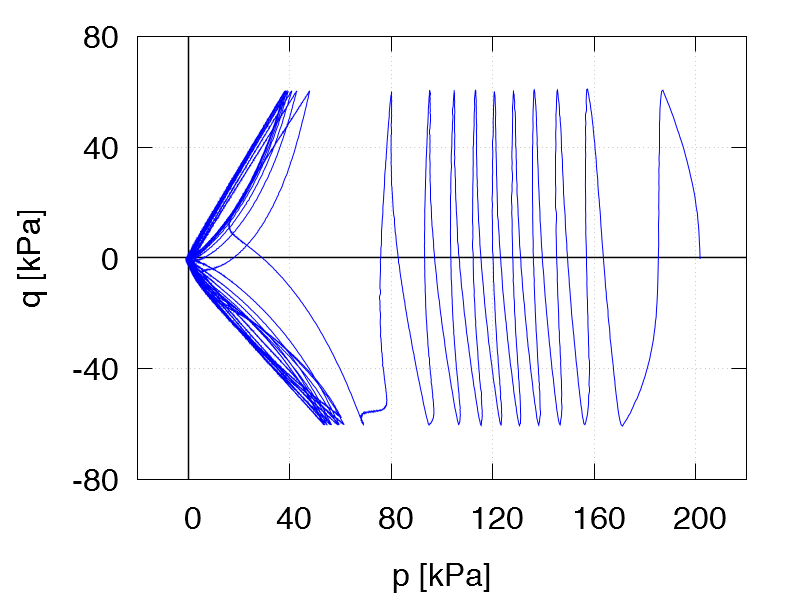
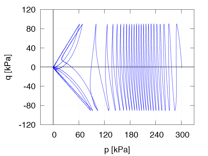
| TCUI7 ID0 = 0.67 p0 = 200 kPa qampl = 60 kPa Test data |
|
|
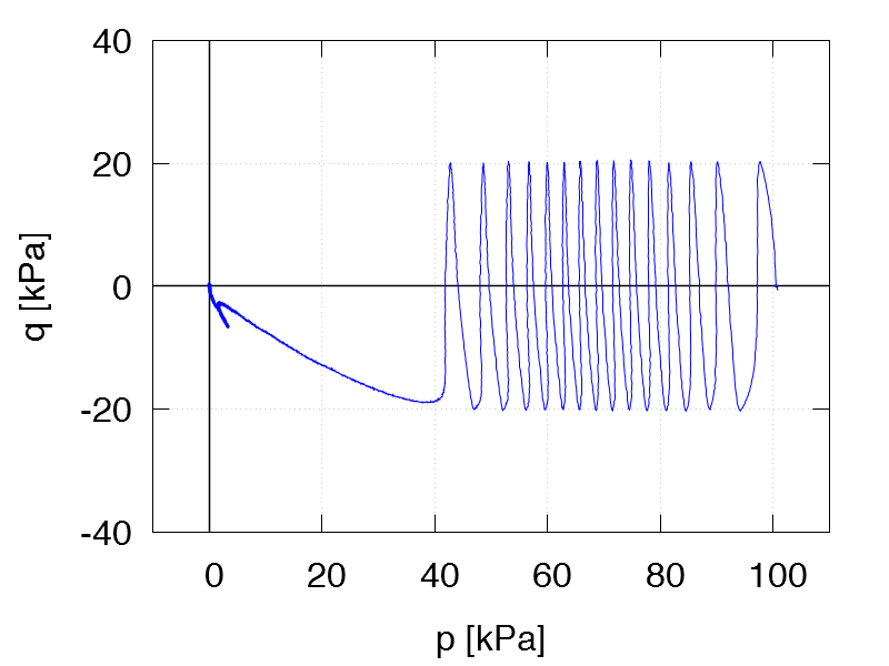
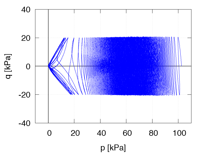
| TCUI8 ID0 = 0.62 p0 = 100 kPa qampl = 20 kPa 1st drained cycle Test data |
|
|
| TCUI9 ID0 = 0.68 p0 = 100 kPa qampl = 25 kPa 1st drained cycle Test data |
|
|
| TCUI10 ID0 = 0.61 p0 = 100 kPa qampl = 30 kPa 1st drained cycle Test data |
|
|
| TCUI11 ID0 = 0.56 p0 = 200 kPa qampl = 40 kPa 1st drained cycle Test data |
|
|
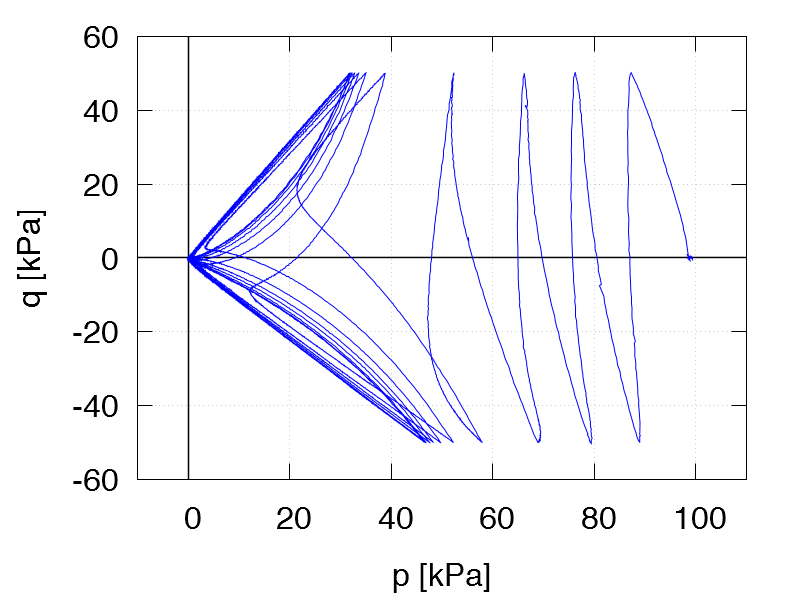
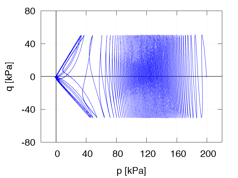
| TCUI12 ID0 = 0.64 p0 = 200 kPa qampl = 50 kPa 1st drained cycle Test data |
|
|
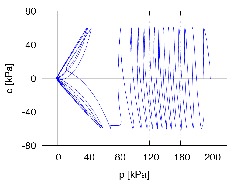
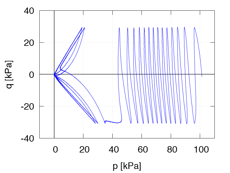
| TCUI13 ID0 = 0.59 p0 = 200 kPa qampl = 60 kPa 1st drained cycle Test data |
|
|
| TCUI14 ID0 = 0.55 p0 = 300 kPa qampl = 60 kPa 1st drained cycle Test data |
|
|
| TCUI15 ID0 = 0.65 p0 = 300 kPa qampl = 75 kPa 1st drained cycle Test data |
|
|
| TCUI16 ID0 = 0.63 p0 = 300 kPa qampl = 90 kPa 1st drained cycle Test data |
|
|
| | | |
| TCUI17 ID0 = 0.87 p0 = 200 kPa qampl = 60 kPa Test data |
|
|
| TCUI18 ID0 = 0.78 p0 = 100 kPa qampl = 30 kPa 1st drained cycle Test data |
|
|
| TCUI19 ID0 = 0.78 p0 = 100 kPa qampl = 40 kPa 1st drained cycle Test data |
|
|
| TCUI20 ID0 = 0.79 p0 = 100 kPa qampl = 50 kPa 1st drained cycle Test data |
|
|
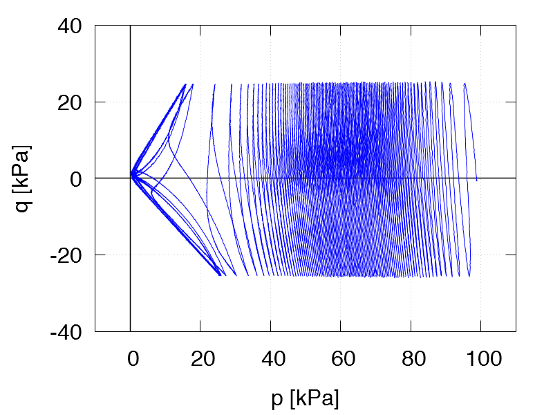
| TCUI21 ID0 = 0.80 p0 = 200 kPa qampl = 60 kPa 1st drained cycle Test data |
|
|
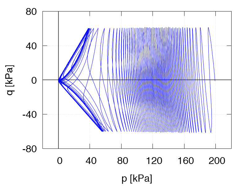
| TCUI22 ID0 = 0.82 p0 = 300 kPa qampl = 90 kPa 1st drained cycle Test data |
|
|