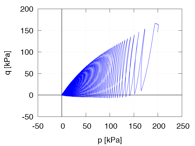
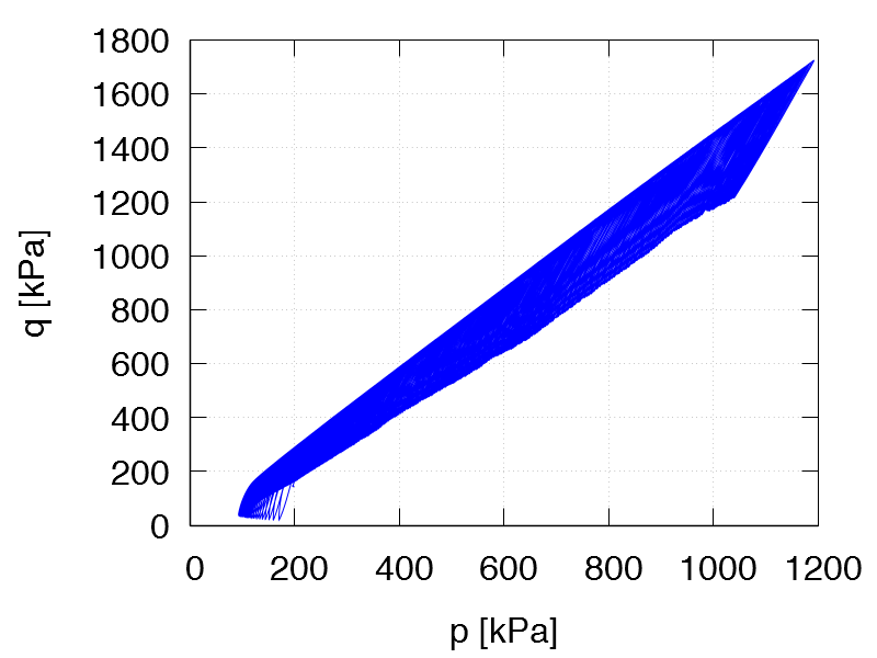
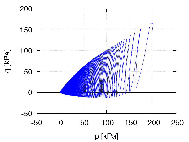
Undrained triaxial tests with a superposition of monotonic loading and strain cycles:   Data of all tests of this series
TMCU1        
ID0 = 0.60
ε1ampl = 6.0 ⋅ 10-4
Rate ε1acc = 0.2 ⋅ 10-4

Test data

TMCU2
ID0 = 0.61
ε1ampl = 6.0 ⋅ 10-4
Rate ε1acc = 0.5 ⋅ 10-4

Test data

TMCU3
ID0 = 0.58
ε1ampl = 6.0 ⋅ 10-4
Rate ε1acc = 1.0 ⋅ 10-4

Test data

TMCU4
ID0 = 0.63
ε1ampl = 6.0 ⋅ 10-4
Rate ε1acc = 3.0 ⋅ 10-4

Test data