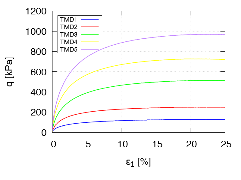
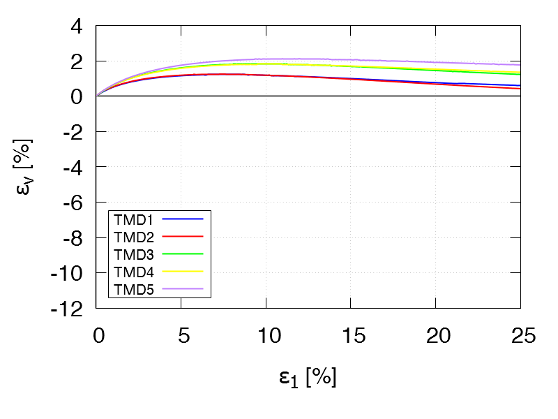
|  TMD1-5  ID0 = 0.15-0.25 Test data  |  
          |  
          |  
|  TMD6-10  ID0 = 0.46-0.55 Test data  |  
          |  
          |  
|  TMD11-15  ID0 = 0.57-0.68 Test data  |  
          |  
          |  
|  TMD16-20  ID0 = 0.79-0.85 Test data  |  
          |  
          |  
|  TMD21-25  ID0 = 0.85-0.95 Test data  |  
          |  
          |