Undrained monotonic triaxial tests on very loose samples prepared by either moist tamping (MT) or air pluviation (AP):   Data of all tests of this series
TMU-MT1,4,7
Moist tamping   
ID0 = 0.04-0.07

Test data

TMU-MT2,5,8
Moist tamping
ID0 = 0.27-0.30

Test data

TMU-MT3,6,9
Moist tamping
ID0 = 0.39-0.40

Test data

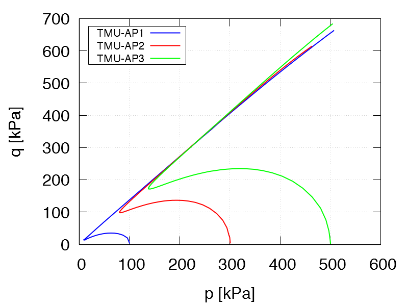
TMU-AP1-3
Air pluviation
ID0 = 0.30-0.33

Test data