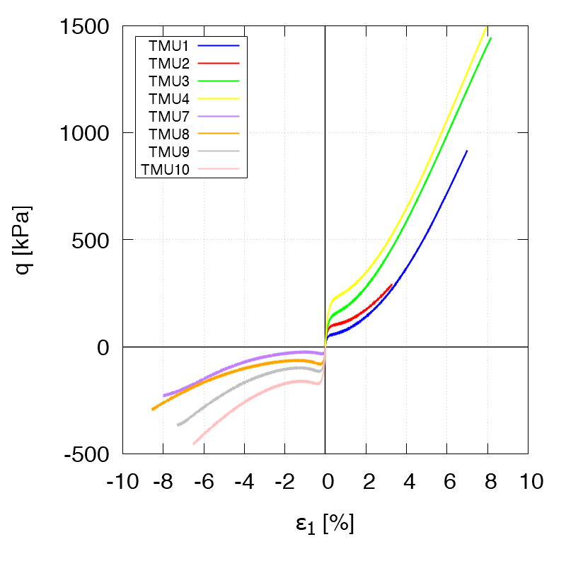
Undrained monotonic triaxial tests:   Data of all tests of this series
TMU1,2,3,4,7,8,9,10
ID0 = 0.53-0.64

Test data

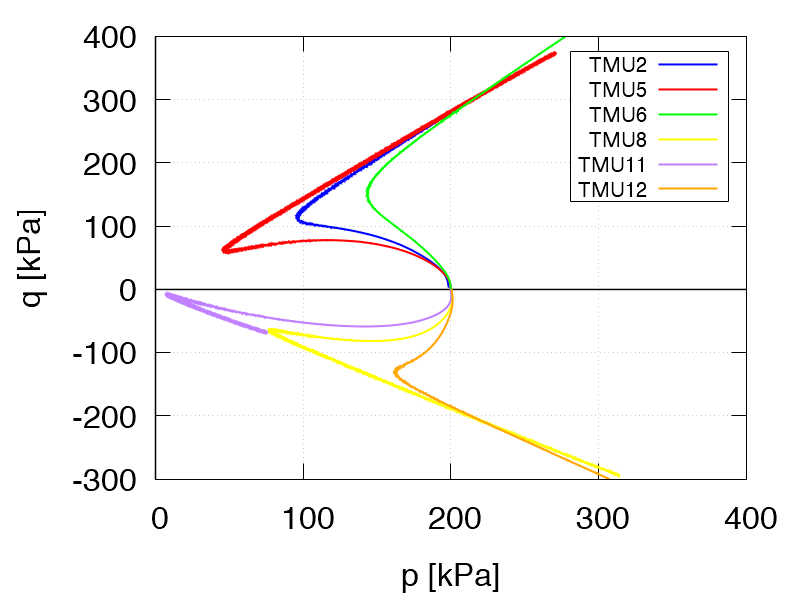
TMU2,5,6,8,11,12
ID0 = 0.24-0.94

Test data


Note: There was a mistake in the values of effective mean pressure p of this series. It has been corrected on 07.09.2018.