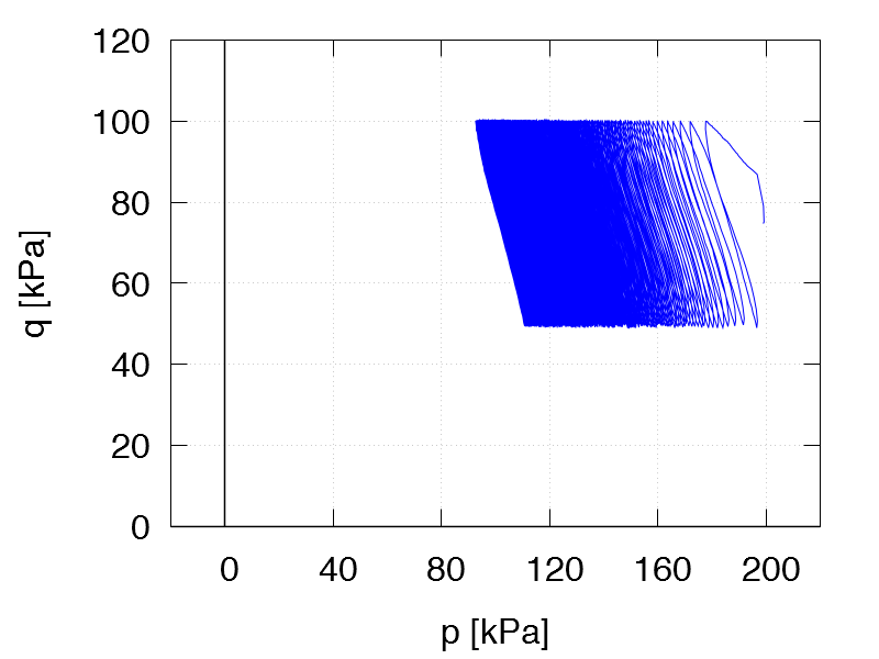
Undrained cyclic tests with anisotropic consolidation and stress cycles: Variation of amplitude   Data of all tests of this series

All tests: p0 = 200 kPa, η0 = 0.375, Displacement rate 0.1 mm/min
Test C32
e0 = 1.142
qampl = 15 kPa

Test data

Test C33
e0 = 1.239
qampl = 20 kPa

Test data

Test C34
e0 = 1.283
qampl = 25 kPa

Test data

Test C25
e0 = 1.200
qampl = 30 kPa

Test data

Test C35
e0 = 1.251
qampl = 35 kPa

Test data

Test C36
e0 = 1.227
qampl = 40 kPa

Test data