Undrained cyclic tests with isotropic consolidation and stress cycles: Variation of amplitude   Data of all tests of this series

All tests: p0 = 200 kPa, Displacement rate 0.1 mm/min
Test C1
e0 = 1.250
qampl = 30 kPa

Test data

Test C2
e0 = 1.147
qampl = 40 kPa

Test data

Test C3
e0 = 1.224
qampl = 45 kPa

Test data

Test C4
e0 = 1.193
qampl = 45 kPa

Test data

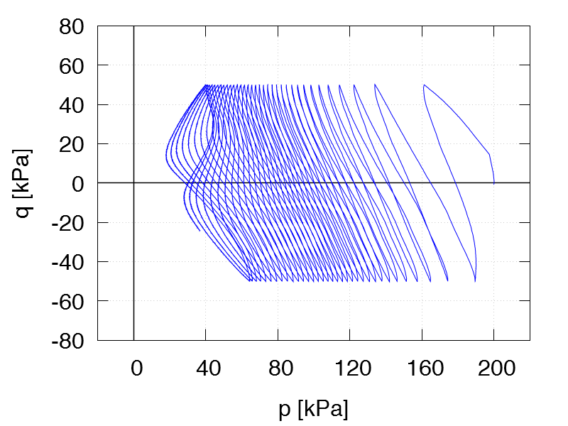
Test C5
e0 = 1.145
qampl = 50 kPa

Test data

Test C6
e0 = 1.252
qampl = 50 kPa

Test data

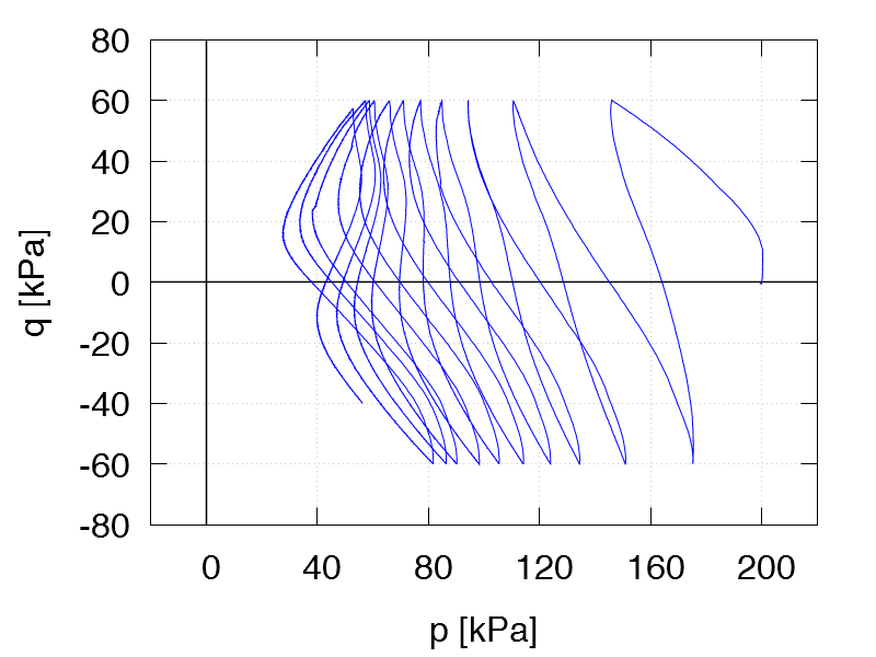
Test C7
e0 = 1.202
qampl = 60 kPa

Test data

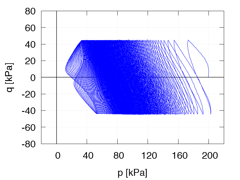
Test C8
e0 = 1.121
qampl = 70 kPa

Test data