Undrained cyclic tests with isotropic consolidation and stress cycles: Variation of displacement rate   Data of all tests of this series

Test series 1: p0 = 200 kPa, qampl = 45 kPa
Test C9
e0 = 1.143
Rate 0.01 mm/min

Test data

Test C10
e0 = 1.272
Rate 0.02 mm/min

Test data

Test C11
e0 = 1.294
Rate 0.05 mm/min

Test data

Test C3
e0 = 1.224
Rate 0.1 mm/min

Test data

Test C4
e0 = 1.193
Rate 0.1 mm/min

Test data

Test C12
e0 = 1.221
Rate 0.5 mm/min

Test data



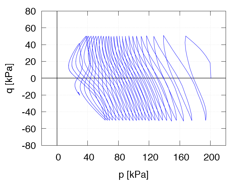
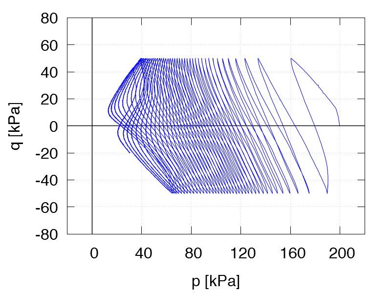
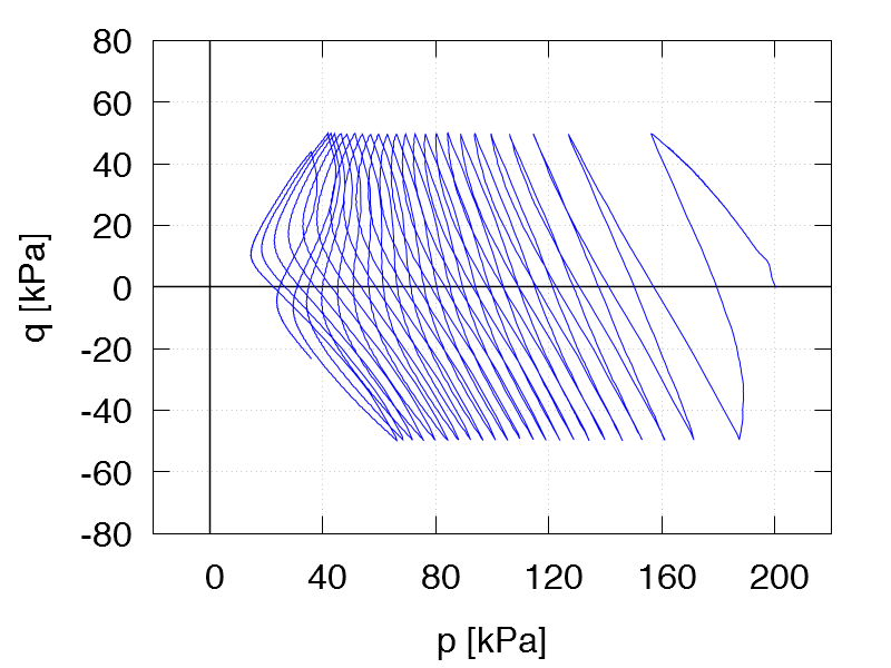
Test series 2: p0 = 200 kPa, qampl = 50 kPa
Test C13
e0 = 1.293
Rate 0.01 mm/min

Test data

Test C14
e0 = 1.228
Rate 0.05 mm/min

Test data

Test C5
e0 = 1.145
Rate 0.1 mm/min

Test data

Test C6
e0 = 1.252
Rate 0.1 mm/min

Test data

Test C15
e0 = 1.298
Rate 0.5 mm/min

Test data