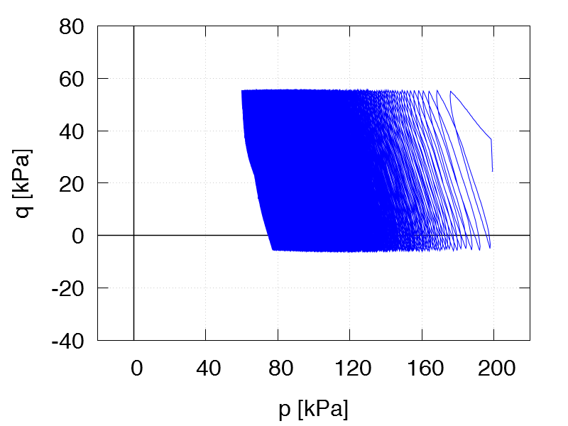
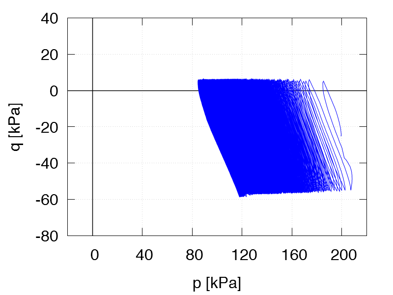
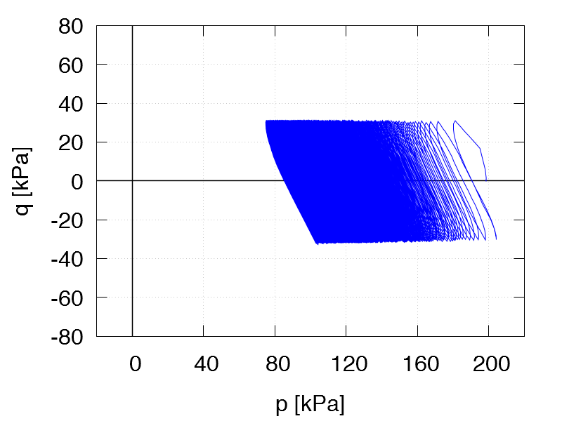
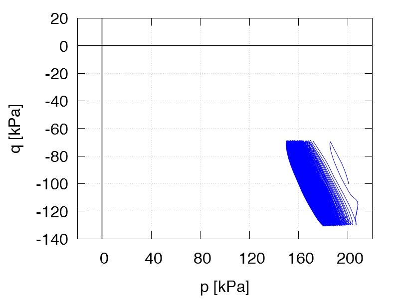
Undrained cyclic tests with anisotropic consolidation and stress cycles: Variation of initial stress ratio   Data of all tests of this series

All tests: p0 = 200 kPa, qampl = 30 kPa, Displacement rate 0.1 mm/min
Test C23
η0 = 0.625
e0 = 1.206

Test data

Test C24
η0 = 0.5
e0 = 1.212

Test data

Test C25
η0 = 0.375
e0 = 1.200

Test data

Test C26
η0 = 0.25
e0 = 1.249

Test data

Test C27
η0 = 0.125
e0 = 1.319

Test data

Test C1
η0 = 0
e0 = 1.250

Test data

Test C28
η0 = -0.125
e0 = 1.248

Test data

Test C29
η0 = -0.25
e0 = 1.248

Test data

Test C30
η0 = -0.375
e0 = 1.229

Test data

Test C31
η0 = -0.5
e0 = 1.180

Test data