Undrained cyclic tests with isotropic consolidation and stress cycles: Variation of initial mean stress   Data of all tests of this series

All tests: qampl/p0 = 0.2, Displacement rate 0.1 mm/min
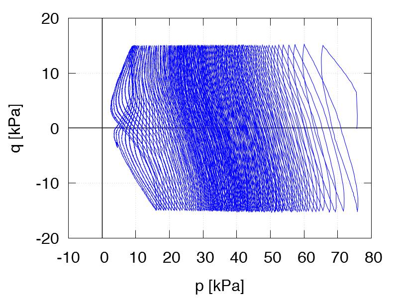
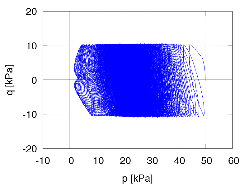
Test C16
p0 = 50 kPa
e0 = 1.397
qampl = 10 kPa

Test data

Test C17
p0 = 75 kPa
e0 = 1.410
qampl = 15 kPa

Test data

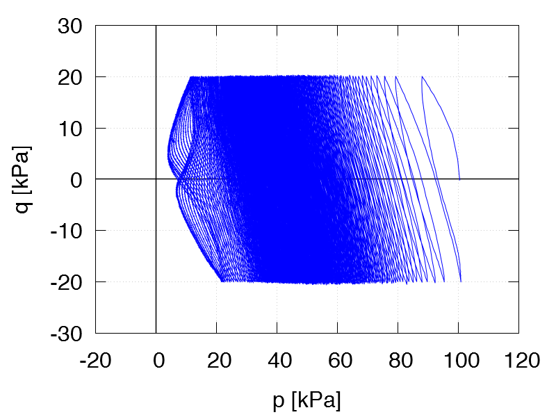
Test C18
p0 = 100 kPa
e0 = 1.244
qampl = 20 kPa

Test data

Test C19
p0 = 125 kPa
e0 = 1.295
qampl = 25 kPa

Test data

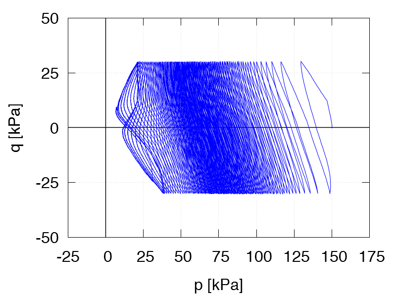
Test C20
p0 = 150 kPa
e0 = 1.272
qampl = 30 kPa

Test data

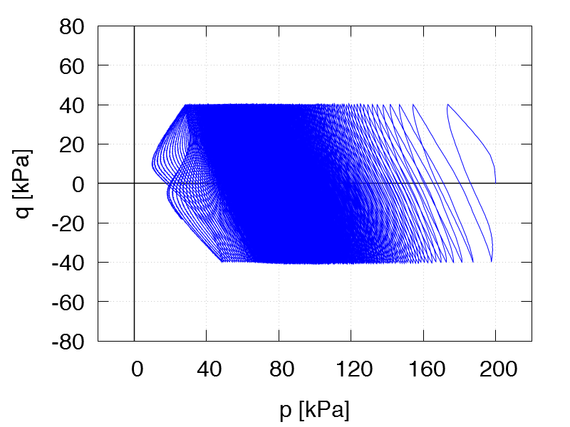
Test C2
p0 = 200 kPa
e0 = 1.147
qampl = 40 kPa

Test data

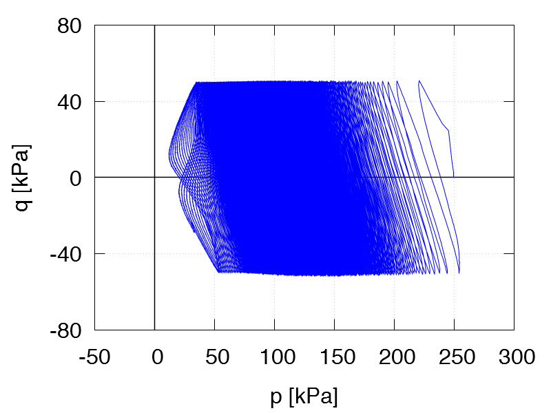
Test C21
p0 = 250 kPa
e0 = 1.112
qampl = 50 kPa

Test data

Test C22
p0 = 300 kPa
e0 = 1.143
qampl = 60 kPa

Test data