Undrained monotonic triaxial tests:
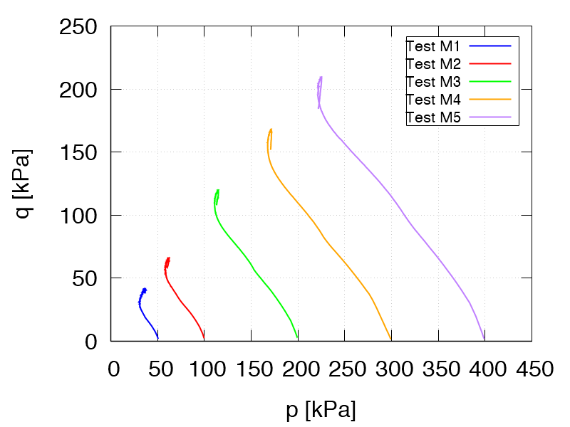
Tests M1 - M5
Variation p0

Test data

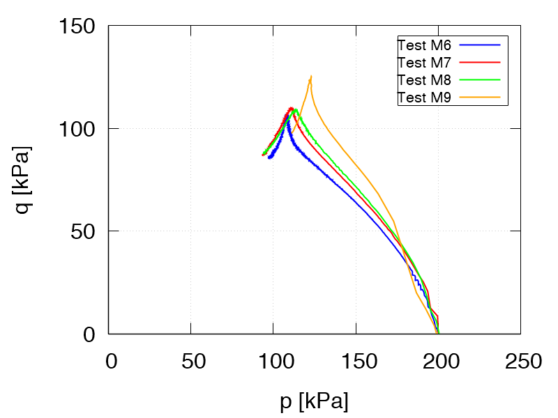
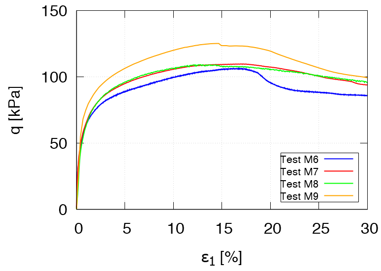
Tests M6 - M9
Variation strain rate

Test data

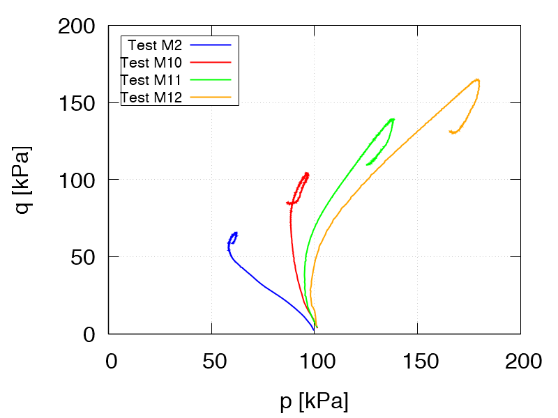
Tests M2 + M10 - M12
Variation OCR

Test data

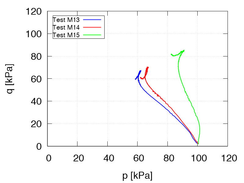
Tests M13 - M15
Vertical vs.
horizontal samples

Test data