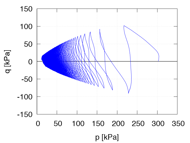
Undrained cyclic tests with isotropic consolidation and strain cycles: Variation of amplitude
Data of all tests of this series
All tests: p
0
= 300 kPa, Displacement rate 0.1 mm/min
Test C43
e
0
= 1.046
ε
1
ampl
= 1.0 ⋅ 10
-2
Test data
Test C44
e
0
= 1.057
ε
1
ampl
= 2.0 ⋅ 10
-2
Test data
Test C45
e
0
= 1.035
ε
1
ampl
= 5.0 ⋅ 10
-2
Test data